ブルーライト、環境汚染、そして酸化ストレスへの曝露の増加に伴い、フリーラジカルによるダメージから細胞を守ることがますます重要になっています。天然抗酸化物質の中でも、抗酸化物質ヒドロキシチロソール(CAS番号:10597-60-1)は、その二重の抗酸化力で科学的な注目を集めています。
このブログ投稿では、高純度ヒドロキシチロソール液の製造業者であるViablife が、 販売されている抗酸化ヒドロキシチロソールの二重抗酸化メカニズムと、その構造的および経路的相乗効果について共有します。
抗酸化効果:in vitro + in vivo二重検証
試験管内研究:ヒドロキシチロソールは青色光による酸化ストレスから細胞を保護する
細胞実験は、現代の酸化ストレスの最も一般的な原因の一つであるLEDの青色光への曝露をシミュレートします。ヒトのケラチノサイトと線維芽細胞に青色光を照射すると、活性酸素種(ROS)の産生が急増し、細胞の酸化、コラーゲンの分解、そして光老化の加速につながります。

これらの実験では、抗酸化物質ヒドロキシチロソールを投与することで、活性酸素種の過剰産生が顕著に抑制され、細胞内コラーゲンの分解が抑制されました。この効果は用量依存的で、ヒドロキシチロソール濃度が高いほど活性酸素種の抑制効果も高まりました。
この発見は、ヒドロキシチロソールが既存のラジカルを単に中和するだけでなく、光誘発ストレスによって引き起こされる酸化連鎖反応を効果的に*予防*することを意味します。LED光曝露を模擬した条件下で、ヒドロキシチロソールを投与した皮膚細胞は構造的完全性を維持し、酸化損傷に抵抗しました。これは、in vitro試験におけるヒドロキシチロソールの強力な抗酸化能を実証したものです。
つまり、ヒドロキシチロソールは皮膚と真皮細胞のシールドとして機能し、日常的なデジタル光源によって生成される隠れた酸化ダメージと戦います。これは、ヒドロキシチロソール液を含む局所的なスキンケアや化粧品処方に直接関係する発見です。
生体内研究:皮膚の自然な防御力を強化する
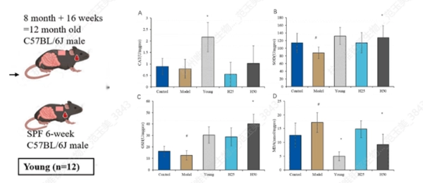
ペトリ皿の外で行われた動物モデル実験は、説得力のある生体内(in vivo)でのエビデンスを提供しています。AGE(終末糖化産物)によって引き起こされる皮膚の酸化老化モデルにおいて、ヒドロキシチロソールを投与されたマウスは、抗酸化酵素の活性が劇的に改善しました。
SOD(スーパーオキシドディスムターゼ)とGSH-Px(グルタチオンペルオキシダーゼ)のレベルは有意に上昇し、脂質過酸化のマーカーであるMDA(マロンジアルデヒド)は減少しました。これらの結果は、ヒドロキシチロソールがラジカルスカベンジャーとして直接作用するだけでなく、体内の抗酸化システムを強化することを示しています。

この二重の作用により、組織の酸化ストレスが軽減され、肌の恒常性が回復しました。簡単に言えば、*ヒドロキシチロソールは体内から抗酸化能力を活性化させる*のです。これは、生体内での全身的有効性を実証する結果です。
細胞と動物の研究を合わせると、ヒドロキシチロソールの抗酸化作用は生化学的に強力であり、生物学的にも意義深いことが確認され、その幅広い応用の基礎を形成しています。
二重の内部抗酸化メカニズム:構造 + 経路の相乗効果
構造上の利点:オルトジヒドロキシフェノール基
抗酸化物質ヒドロキシチロソールの卓越した作用は、そのオルトジヒドロキシ(カテコール)構造に由来します。この独特な構造により、ヒドロキシチロソールは効率的に水素原子を供与し、フリーラジカル連鎖反応を阻害し、反応性分子種を安定化させます。
比較データによると、この構造を持つカテコール型化合物は、この構造を持たない化合物よりもはるかに強力なラジカル消去能を持つことが明らかになっています。ヒドロキシチロソールの場合、これは、生物系において最も有害な酸化剤の一つであるヒドロキシルラジカル、スーパーオキシドラジカル、そしてペルオキシナイトライトを直接中和できることを意味します。
この構造的利点は、青色光誘発性ROSに対する*in vitro*での優れた抑制効果を説明しています。ラジカルを発生源で阻止する能力により、ヒドロキシチロソールは即座に保護効果を発揮し、抗酸化防御の最前線を形成します。

経路制御:NRF2細胞防御ネットワークの活性化
2つ目のメカニズムは細胞レベルで適応的なものです。ヒドロキシチロソールはラジカルを除去するだけでなく、体内の長期的な抗酸化防御システムを調整するNRF2シグナル伝達経路を活性化します。

ヒドロキシチロソール処理により、NRF2(核因子赤血球2関連因子2)が細胞核に移行し、DNA中の抗酸化応答配列(ARE)に結合します。この活性化により、SOD、GPx、GR(グルタチオン還元酵素)、GST(グルタチオンS-トランスフェラーゼ)などの抗酸化酵素および解毒酵素の発現が促進されます。

研究によると、ヒドロキシチロソール処理細胞では、核内のNrf2レベルが上昇する一方で細胞質内のレベルは低下し、活性化と転座が成功したことが確認されています。その結果、GPx、GR、GSTの酵素活性はいずれも有意に上昇しました。
この Nrf2 の活性化により ROS の生成が減少し、細胞の酸化ストレスに対する耐性が強化され、初期のラジカル曝露後でも持続的な抗酸化保護が提供されます。
したがって、ヒドロキシチロソールは 2 つの相補的なメカニズムを実現します。
1. カテコール構造によりラジカルを即座に中和します。
2. Nrf2シグナル伝達による内因性抗酸化物質の活性化。
この相乗効果(構造 + 経路)により、単一のメカニズムに依存する従来のほとんどの抗酸化物質とは異なり、強力で多層的な抗酸化防御が実現します。
ヒドロキシチロソールの科学的品質:サプライヤーと製造に関する洞察
信頼できる調達は、実験結果を効果的な製品に転換するために不可欠です。ヒドロキシチロソールのサプライヤーであるViablifeは、精密発酵とバイオベースの抽出技術で知られる世界的に認められた生産者です。
ヒドロキシチロソールの製造会社であるViablifeは、全バッチにおいて一貫した純度、高い安定性、そして追跡可能な製造基準を保証しています。同社のヒドロキシチロソール液状製剤は、効力を損なうことなく、スキンケア美容液、栄養飲料、または栄養補助食品への配合を容易にします。
ヒドロキシチロソールの販売を希望するブランドや製剤メーカーの皆様に、Viablifeはバルク原料だけでなく、技術サポート、製剤ガイダンス、規制関連文書も提供しています。こうした科学的な透明性は、研究と製品化の橋渡しとなり、検証済みの有効性に基づいた次世代抗酸化製品の開発を容易にします。
研究室から生活へ:抗酸化物質ヒドロキシチロソールの実世界への応用
二重の検証と相乗効果のメカニズムのおかげで、ヒドロキシチロソールは複数の分野で多用途の成分となっています。
* スキンケアと化粧品: 局所処方で酸化光老化を防ぎ、コラーゲンを保護し、ブルーライトストレスを和らげます。
* 機能性食品および飲料: ヒドロキシチロソール液は、天然の抗酸化作用により飲料やサプリメントの栄養価を高めます。
* 栄養補助食品: 全身の ROS 制御を通じて心臓血管と神経の健康をサポートします。
* 医薬品研究:酸化ダメージに関連する慢性炎症、代謝疾患、神経変性疾患について研究されています。
ヒドロキシチロソールは、外部と内部の両方で抗酸化物質のバランスを回復する能力が実証されており、総合的な保護のための次世代の生物活性物質として位置づけられています。
結論
抗酸化物質ヒドロキシチロソールは、*in vitro*細胞アッセイから*in vivo*動物モデルに至るまで、一貫して酸化ストレスへの抵抗性、活性酸素種(ROS)の減少、そして酵素防御の強化を示すことが示されています。その二重の抗酸化メカニズム(強力な構造的フリーラジカル消去コアとNRF2防御経路の活性化)は、分子レベルから全身レベルまで包括的な保護を保証します。
研究に裏付けられ、ヒドロキシチロソールのサプライヤーである Viablife によって精密に製造されたこの天然化合物は、現代のバイオテクノロジーと分子の理解がどのように融合して、目に見える健康と美容のメリットをもたらすかを実証しています。
スキンケア、栄養、または高度な健康処方のいずれにおいても、ヒドロキシチロソールは、科学的に証明され、構造的に強力で、生物学的にインテリジェントな、将来の生理活性抗酸化物質のベンチマークとして立っています。
中国語
アメリカ
スペイン
ロシア
フランス
ドイツ
イタリアの
日本
アラビア語
ポルトガル語
韓国語
タイ語
ギリシャ語
インド




Leave a Message